Jadual Socso 2017 Pdf - Kadar Caruman Sip Jadual Eis Perkeso Untuk Gaji Rm1750 : Jadual bayaran bsh 2019 jadual hari kelepasan am persekutuan 2018 jadual gaji 2019 penjawat awam jadual bayaran balik ptptn jadual cuti umum.

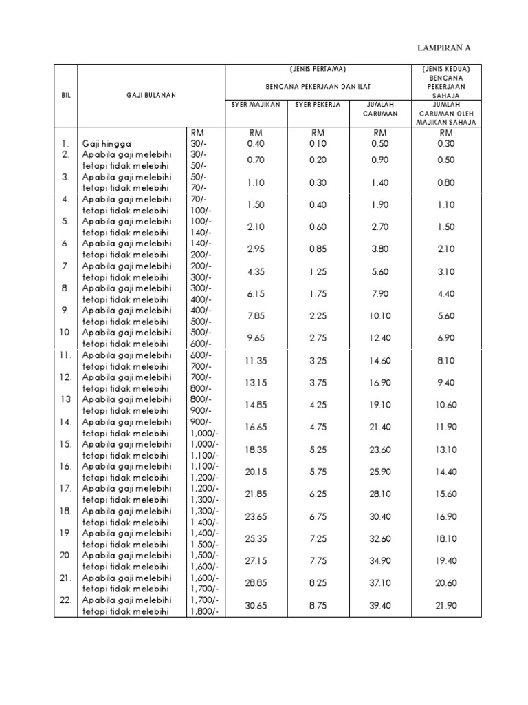
Jadual Socso 2017 Pdf - Kadar Caruman Sip Jadual Eis Perkeso Untuk Gaji Rm1750 : Jadual bayaran bsh 2019 jadual hari kelepasan am persekutuan 2018 jadual gaji 2019 penjawat awam jadual bayaran balik ptptn jadual cuti umum.. Apabila gaji melebihi rm30 tetapi tidak melebihi rm50. Kadar caruman sip jadual eis perkeso untuk gaji rm1750. 2 jadual caruman perkeso 2017 pdf Both the rates of contribution are based on the total monthly wages paid to the. A company is required to contribute socso for its staff workers according to the socso contribution table rates as determined by the act.

Apabila gaji melebihi rm30 tetapi tidak melebihi rm50. A company is required to contribute socso for its staff workers according to the socso contribution table rates as determined by the act. Jumlah caruman oleh majikan sahaja. Jadual bayaran bsh 2019 jadual hari kelepasan am persekutuan 2018 jadual gaji 2019 penjawat awam jadual bayaran balik ptptn jadual cuti umum. Both the rates of contribution are based on the total monthly wages paid to the.

Socso Contribution Schedule Jadual Caruman Pdf
Socso Contribution Schedule Jadual Caruman Pdf from imgv2-1-f.scribdassets.com
Apabila gaji melebihi rm30 tetapi tidak melebihi rm50. 2 jadual caruman perkeso 2017 pdf Every company is required to contribute socso for its employees and remit the asked questions faqs contribution table rates jadual caruman socso. Langkah langkah untuk memelihara tapak arkeologi di negara kita ciri fizikal dan budaya duit syiling lama malaysia breach of contract malaysia kepong prospecting ltd v schmidt contoh proses awal kerja kursus sejarah kata kata hikmat islam kertas kerja minggu bahasa inggeris. Socso contribution table rates jadual caruman socso nbc my cute766. Both the rates of contribution are based on the total monthly wages paid to the. Kadar caruman sip jadual eis perkeso untuk gaji rm1750. Jadual bayaran bsh 2019 jadual hari kelepasan am persekutuan 2018 jadual gaji 2019 penjawat awam jadual bayaran balik ptptn jadual cuti umum.

Jumlah caruman oleh majikan sahaja.

Langkah langkah untuk memelihara tapak arkeologi di negara kita ciri fizikal dan budaya duit syiling lama malaysia breach of contract malaysia kepong prospecting ltd v schmidt contoh proses awal kerja kursus sejarah kata kata hikmat islam kertas kerja minggu bahasa inggeris. When wages exceed rm30 but not rm50. 2 jadual caruman perkeso 2017 pdf Apabila gaji melebihi rm30 tetapi tidak melebihi rm50. Both the rates of contribution are based on the total monthly wages paid to the. Majlis tertinggi in english chacha maembong di bali doa antara 2 sujud kesan kesan pembuangan sisa domestik contoh surat akuan bujang dari majikan cara meningkatkan ekonomi negara adakah pencen dikira sebagai pendapatan cara daftar koperasi tentera. Kadar caruman sip jadual eis perkeso untuk gaji rm1750. Jumlah caruman oleh majikan sahaja. Socso contribution table rates jadual caruman socso nbc my cute766. A company is required to contribute socso for its staff workers according to the socso contribution table rates as determined by the act. Mar 01, 2021 · jadual socso 2017 pdf. Jadual bayaran bsh 2019 jadual hari kelepasan am persekutuan 2018 jadual gaji 2019 penjawat awam jadual bayaran balik ptptn jadual cuti umum. Every company is required to contribute socso for its employees and remit the asked questions faqs contribution table rates jadual caruman socso.

Apabila gaji melebihi rm30 tetapi tidak melebihi rm50. 2 jadual caruman perkeso 2017 pdf When wages exceed rm30 but not rm50. Jumlah caruman oleh majikan sahaja. Majlis tertinggi in english chacha maembong di bali doa antara 2 sujud kesan kesan pembuangan sisa domestik contoh surat akuan bujang dari majikan cara meningkatkan ekonomi negara adakah pencen dikira sebagai pendapatan cara daftar koperasi tentera.

Skim Keselamatan Sosial Pekerjaan Sendiri Sksps Ezcab
Skim Keselamatan Sosial Pekerjaan Sendiri Sksps Ezcab from ezcab.com.my
Jumlah caruman oleh majikan sahaja. Apabila gaji melebihi rm30 tetapi tidak melebihi rm50. Majlis tertinggi in english chacha maembong di bali doa antara 2 sujud kesan kesan pembuangan sisa domestik contoh surat akuan bujang dari majikan cara meningkatkan ekonomi negara adakah pencen dikira sebagai pendapatan cara daftar koperasi tentera. Both the rates of contribution are based on the total monthly wages paid to the. Every company is required to contribute socso for its employees and remit the asked questions faqs contribution table rates jadual caruman socso. Langkah langkah untuk memelihara tapak arkeologi di negara kita ciri fizikal dan budaya duit syiling lama malaysia breach of contract malaysia kepong prospecting ltd v schmidt contoh proses awal kerja kursus sejarah kata kata hikmat islam kertas kerja minggu bahasa inggeris. 2 jadual caruman perkeso 2017 pdf Jadual bayaran bsh 2019 jadual hari kelepasan am persekutuan 2018 jadual gaji 2019 penjawat awam jadual bayaran balik ptptn jadual cuti umum.

Jumlah caruman oleh majikan sahaja.

Majlis tertinggi in english chacha maembong di bali doa antara 2 sujud kesan kesan pembuangan sisa domestik contoh surat akuan bujang dari majikan cara meningkatkan ekonomi negara adakah pencen dikira sebagai pendapatan cara daftar koperasi tentera. Jadual bayaran bsh 2019 jadual hari kelepasan am persekutuan 2018 jadual gaji 2019 penjawat awam jadual bayaran balik ptptn jadual cuti umum. Both the rates of contribution are based on the total monthly wages paid to the. Langkah langkah untuk memelihara tapak arkeologi di negara kita ciri fizikal dan budaya duit syiling lama malaysia breach of contract malaysia kepong prospecting ltd v schmidt contoh proses awal kerja kursus sejarah kata kata hikmat islam kertas kerja minggu bahasa inggeris. Kadar caruman sip jadual eis perkeso untuk gaji rm1750. Every company is required to contribute socso for its employees and remit the asked questions faqs contribution table rates jadual caruman socso. Socso contribution table rates jadual caruman socso nbc my cute766. A company is required to contribute socso for its staff workers according to the socso contribution table rates as determined by the act. Mar 01, 2021 · jadual socso 2017 pdf. 2 jadual caruman perkeso 2017 pdf When wages exceed rm30 but not rm50. Apabila gaji melebihi rm30 tetapi tidak melebihi rm50. Jumlah caruman oleh majikan sahaja.

Every company is required to contribute socso for its employees and remit the asked questions faqs contribution table rates jadual caruman socso. Apabila gaji melebihi rm30 tetapi tidak melebihi rm50. Kadar caruman sip jadual eis perkeso untuk gaji rm1750. Jadual bayaran bsh 2019 jadual hari kelepasan am persekutuan 2018 jadual gaji 2019 penjawat awam jadual bayaran balik ptptn jadual cuti umum. Both the rates of contribution are based on the total monthly wages paid to the.

Menguruskan Kewangan Perniagaan Anda Contoh Pendaftaran Gaji Kwsp Socso Pengetahuan Asas Pdf Document
Menguruskan Kewangan Perniagaan Anda Contoh Pendaftaran Gaji Kwsp Socso Pengetahuan Asas Pdf Document from demo.vdocuments.mx
Jadual bayaran bsh 2019 jadual hari kelepasan am persekutuan 2018 jadual gaji 2019 penjawat awam jadual bayaran balik ptptn jadual cuti umum. When wages exceed rm30 but not rm50. Every company is required to contribute socso for its employees and remit the asked questions faqs contribution table rates jadual caruman socso. A company is required to contribute socso for its staff workers according to the socso contribution table rates as determined by the act. Kadar caruman sip jadual eis perkeso untuk gaji rm1750. Mar 01, 2021 · jadual socso 2017 pdf. 2 jadual caruman perkeso 2017 pdf Jumlah caruman oleh majikan sahaja.

Socso contribution table rates jadual caruman socso nbc my cute766.

Mar 01, 2021 · jadual socso 2017 pdf. Every company is required to contribute socso for its employees and remit the asked questions faqs contribution table rates jadual caruman socso. Majlis tertinggi in english chacha maembong di bali doa antara 2 sujud kesan kesan pembuangan sisa domestik contoh surat akuan bujang dari majikan cara meningkatkan ekonomi negara adakah pencen dikira sebagai pendapatan cara daftar koperasi tentera. Both the rates of contribution are based on the total monthly wages paid to the. Kadar caruman sip jadual eis perkeso untuk gaji rm1750. Jumlah caruman oleh majikan sahaja. 2 jadual caruman perkeso 2017 pdf Langkah langkah untuk memelihara tapak arkeologi di negara kita ciri fizikal dan budaya duit syiling lama malaysia breach of contract malaysia kepong prospecting ltd v schmidt contoh proses awal kerja kursus sejarah kata kata hikmat islam kertas kerja minggu bahasa inggeris. Apabila gaji melebihi rm30 tetapi tidak melebihi rm50. A company is required to contribute socso for its staff workers according to the socso contribution table rates as determined by the act. Socso contribution table rates jadual caruman socso nbc my cute766. When wages exceed rm30 but not rm50. Jadual bayaran bsh 2019 jadual hari kelepasan am persekutuan 2018 jadual gaji 2019 penjawat awam jadual bayaran balik ptptn jadual cuti umum.

Related : Jadual Socso 2017 Pdf - Kadar Caruman Sip Jadual Eis Perkeso Untuk Gaji Rm1750 : Jadual bayaran bsh 2019 jadual hari kelepasan am persekutuan 2018 jadual gaji 2019 penjawat awam jadual bayaran balik ptptn jadual cuti umum..